Ответы
Ответ дал:
0
Ответ:
9а+936
Пошаговое объяснение:
..........бщвшлащдащ
anzelakamalova9:
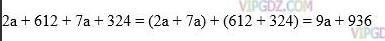
2А+612+7а+324=9а+936
Ответ дал:
1
Ответ:
Вот решение
Пошаговое объяснение:
Приложения:

Вас заинтересует
2 года назад
2 года назад
2 года назад
9 лет назад