Ответы
Ответ дал:
0
Ответ:
9/2500 (это дробь) либо (3/50) (дробь) во 2 степени;
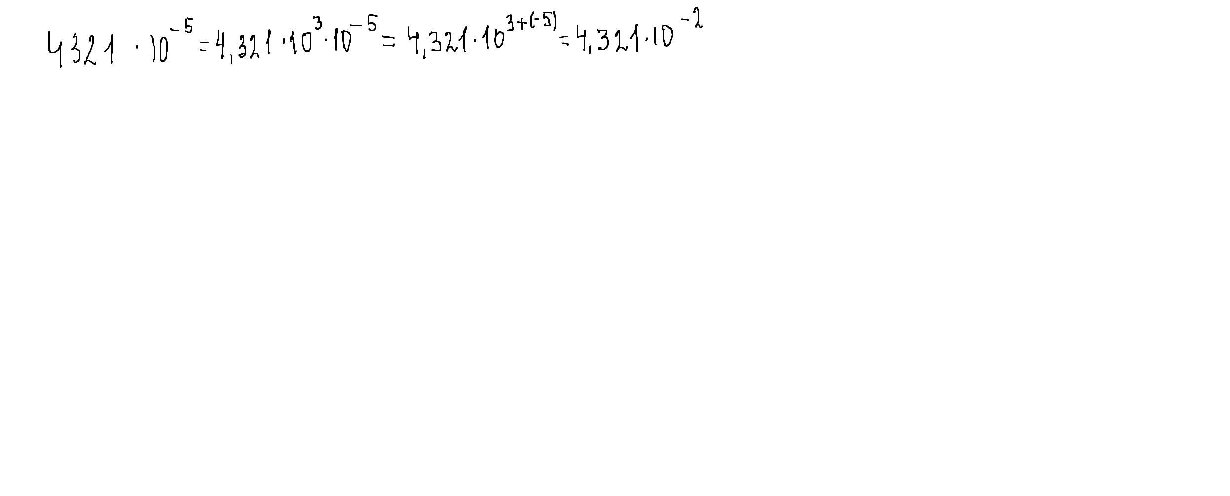
0,04321= 4,321 *10 во -2 степени
Объяснение:
Если минусовая степень кому переносим в левую сторону ,если плюсовая в право. Если число заканчивается добавляем нули (если с минусовой заканчивается ставим кому и обязательно добавляем новый ноль перед комой). Стандартное число это не меньше 1 и не больше 10.
Ответ дал:
0
Ответ:
Объяснение:
вы просили представить в стандартном виде
Приложения:

Вас заинтересует
2 года назад
2 года назад
2 года назад
7 лет назад
7 лет назад