• Предмет: Физика
  • Автор: faq123123123
  • Вопрос задан 11 лет назад

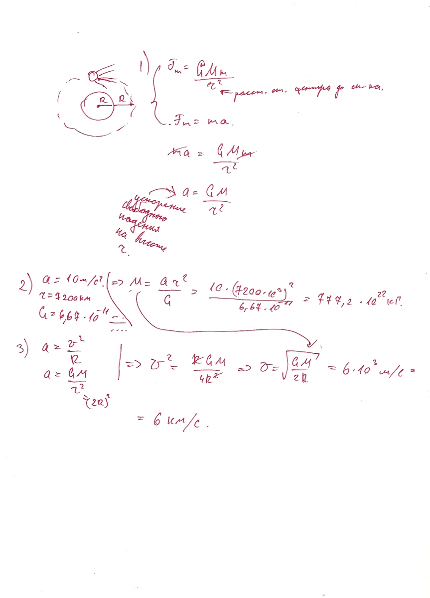
Спутник движется по круговой орбите в плоскости экватора на высоте от поверхности планеты, равной ее радиусу. Найдите скорость спутника. Радиус планеты 7200 км. Ускорение свободного падения на поверхности планеты 10 м/с2

Ответы

Ответ дал: лямбда
0
во вложении ответ, при непонятках из-за почерка обращайся в лс. Кстати, если не сложно, отметь ответ лучшим.
Приложения:
Вас заинтересует