• Предмет: Математика
  • Автор: dasha145096
  • Вопрос задан 3 года назад

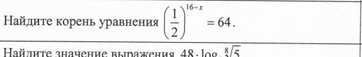
плизз помогите решить​

Приложения:

Ответы

Ответ дал: 2357197
1

Ответ:

х=22

Пошаговое объяснение:

(1/2)^16-х=64

2^-16+х = 2^6

-16+х=6

х=6+16

х=22

Вас заинтересует