9.18 Сократите дробь! Пожалуйста!
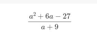
a²+6a-27/a+9
30 баллов
Приложения:

danilaskopenko07:
Помогите пожалуйста!
Ответы
Ответ дал:
15
Ответ:
a - 3
Объяснение:
В числителе, по дискриминанту; D = b^2 - 4ac
D = 36 - 4 * (-27) = 144
Его корни; a1,2 = (-b+- D^1/2) / 2
a1 = 3
a2 = -9
Тогда разложим числитель на (a-3) * (a+9)
Теперь (a+9) сокращаются и получаем ответ a-3
P.s: Сделай мой ответ лучшим пж
Ответ дал:
4
Ответ:
Объяснение:
(a^2+6a-27)/(a+9) = ((a-3)(a+9))/((a+9)) = a-3
a^2+6a-27=0
D=36+108=144
√144=12
a=(-6±12)/2 = 3 ; -9 => (a-3)(a+9)
Вас заинтересует
2 года назад
2 года назад
2 года назад
7 лет назад
7 лет назад
9 лет назад