Ответы
Ответ дал:
1
Пошаговое объяснение:
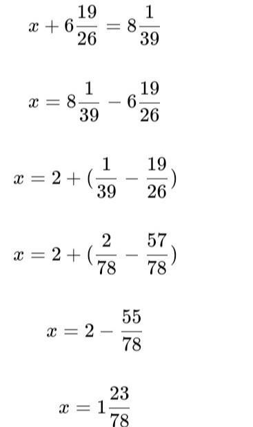
.........
.......................
Приложения:

Вас заинтересует
2 года назад
2 года назад
2 года назад
7 лет назад
9 лет назад