• Предмет: Математика
  • Автор: Аноним
  • Вопрос задан 3 года назад

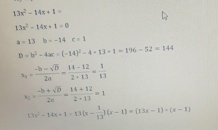
Смотря на пример решите задачу задача должна быть как пример!!!
y {}^{2}  - 6y - 7 = 0

Приложения:

Ответы

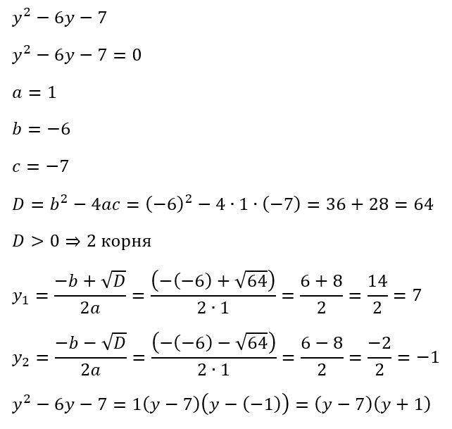
Ответ дал: CbIP0K
1

Ответ:

y^{2} -6y-7=(y-7)(y+1)

Пошаговое объяснение:

Разложение квадратного трехчлена на множители:

Приложения:

Аноним: спасибо
Аноним: можеш решит у меня в проф стоит дам 50 баллов прошу
Аноним: ауу
Аноним: пж
Вас заинтересует