В цепь переменного тока с периодом колебаний 0,314 с включена катушка индуктивностью 5 мГн. Какой ёмкости конденсатор нужно подключить в эту цепь, чтобы добиться резонанса?
Ответы
Ответ дал:
1
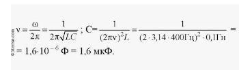
1/(2×3,14×400гц)^2×01гц=1.6×10^-6 ф=1.6мкФ
Приложения:

Вас заинтересует
2 года назад
2 года назад
2 года назад
2 года назад
7 лет назад
7 лет назад
9 лет назад