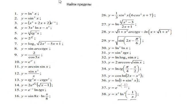
Помогите пожалуйста,дам 100 баллов
Производное,пожалуйста напишите ответы понятно,спасибо большое)
Приложения:

Ответы
Ответ дал:
1
Ответ:
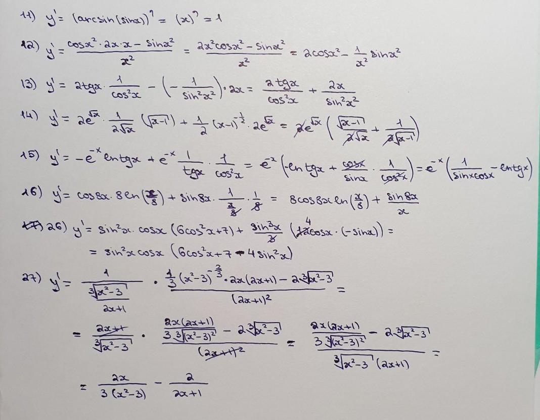
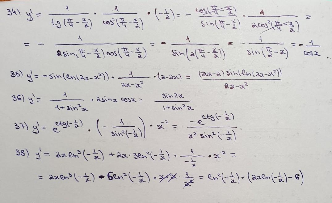
решение на фотографиях
Приложения:




tobi1818:
спасибо огромное))
Вас заинтересует
2 года назад
2 года назад
2 года назад
2 года назад
7 лет назад
9 лет назад