• Предмет: Математика
  • Автор: alisherzhumabaev
  • Вопрос задан 3 года назад

Помоги пж с домашкой. Я сделаю все что хочешь

Приложения:

Ответы

Ответ дал: gal4enok0071
1
!!!!!!!!!!!!!!!!!!!!!!!!!!!!
Приложения:
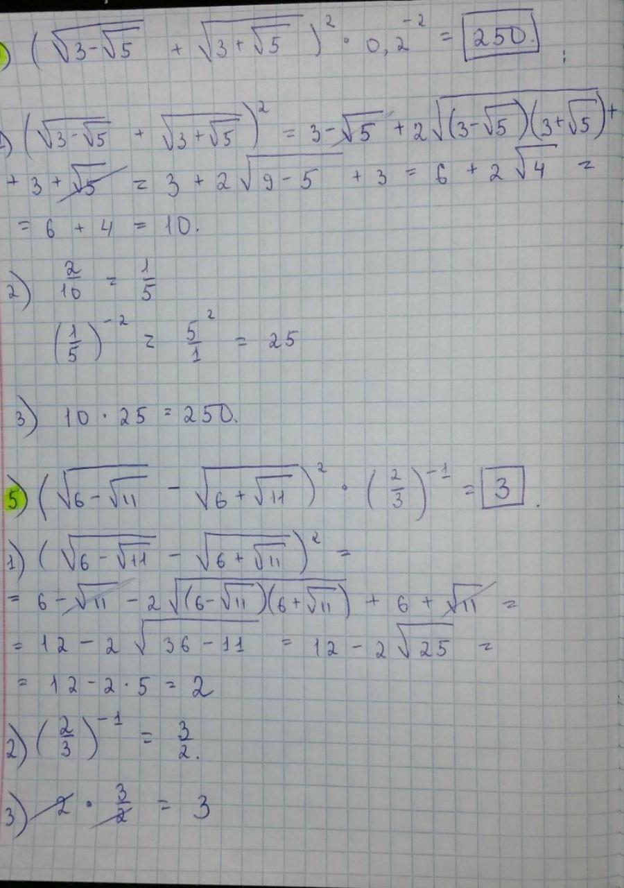
Ответ дал: jasmina62
1

Пошаговое объяснение:

по формуле: 1)(a-b)^2=a^2 - 2ab + b^2

2)(a)^-1=1/a

Приложения:
Вас заинтересует