Ответы
Ответ дал:
1
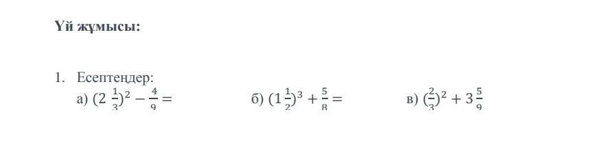
Решение на фото, не забудь про лучший ответ
Приложения:

tawer153:
Спасибо конечно
Вас заинтересует
2 года назад
2 года назад
2 года назад
2 года назад
7 лет назад
7 лет назад
9 лет назад
9 лет назад