• Предмет: Алгебра
  • Автор: Аноним
  • Вопрос задан 3 года назад

умоляю, помогите мне, пожалуйста!

Приложения:

Ответы

Ответ дал: armanbekshin
1

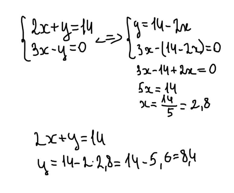
2x+y=14

+

3x-y=0

2x+3x+y-y=14

5x=14

x=2.8

3x-y=0

y=3x

y=3×2.8=8.4

Ответ: x=2.8


Аноним: большое спасибо! :)
Ответ дал: vladasavchenko1975
1

Ответ:

Держи полное решение

Приложения:

Аноним: благодарю!)
Вас заинтересует
3 года назад