Ответы
Ответ дал:
1
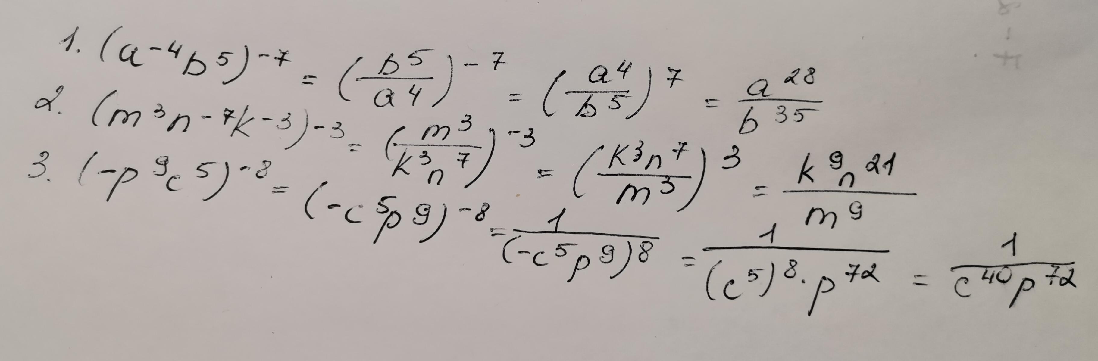
Ответ с решением во вложении, смотрите ниже
Приложения:

Вас заинтересует
2 года назад
2 года назад
7 лет назад
9 лет назад