• Предмет: Алгебра
  • Автор: ebyckov813
  • Вопрос задан 3 года назад

представьте в виде многочислена стандартного виде
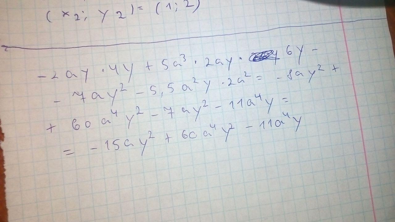
 - 2ay \times 4y + 5 {a}^{3 }  \times 2ay \times 6y - 7a {y}^{2}  - 5.5 {a}^{2} y \times 2 {a}^{2}

Ответы

Ответ дал: Miа16
0

Ответ: Фото.

Объяснение:

Приложения:
Вас заинтересует