• Предмет: Математика
  • Автор: kirillborisenko04042
  • Вопрос задан 3 года назад

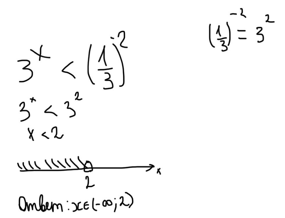
Решить неравенство 3^x<(1/3)^-2

Ответы

Ответ дал: vladasavchenko1975
1

Ответ:

Пошаговое объяснение:

Приложения:
Вас заинтересует