• Предмет: Алгебра
  • Автор: xanaxgood
  • Вопрос задан 3 года назад

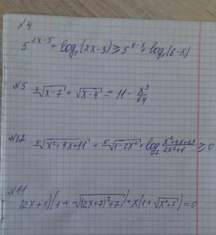
решить неравенства срочно ​

Приложения:

Ответы

Ответ дал: futnekteam
0

номер 5 на фотках

другие номера не имеют решения

Приложения:
Вас заинтересует