ПОМОГИТЕ РЕШИТЬ ХОТЯ БЫ ОДНО ЗАДАНИЕ СРОЧНО!!!!!!!!!!!!!!!!!!!!!!!!!!!!
Вычислить неопределенные и определенные интегралы, применяя подходящие подстановки
Приложения:



Ответы
Ответ дал:
1
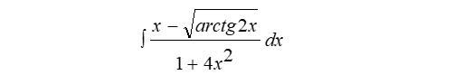
Это ответ на вторую фотку
Приложения:

МАКСИМ23458657:
спасибо
Ответ дал:
0
Пошаговое объяснение:
Короче, думаю там понятно)) ( это на первый )
Приложения:



Вас заинтересует
2 года назад
2 года назад
2 года назад
7 лет назад
9 лет назад
9 лет назад