• Предмет: Алгебра
  • Автор: noname7015
  • Вопрос задан 3 года назад

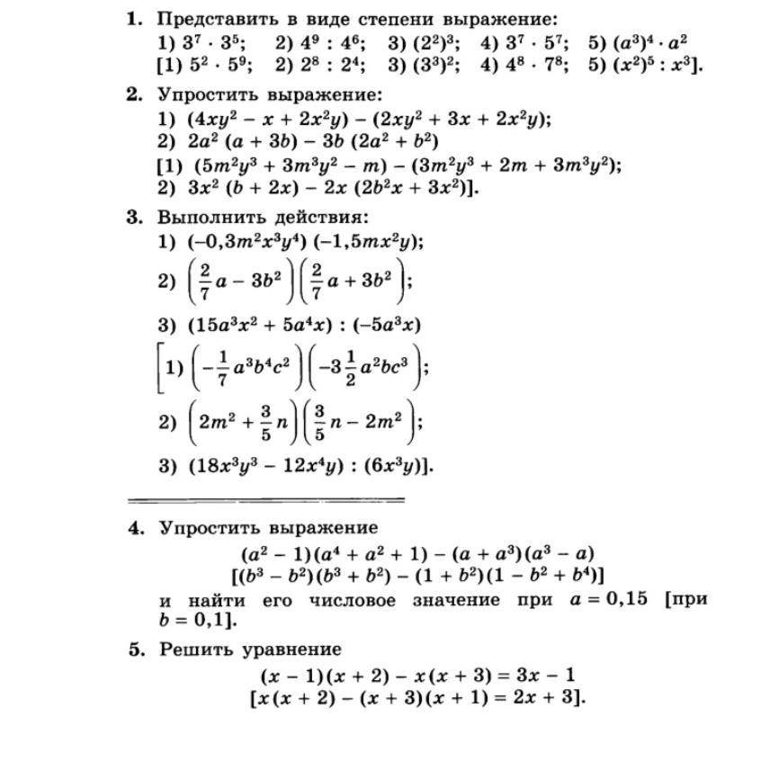
ПОМОГИТЕ ПОЖАЛУЙСТА СРОЧНО !!!!!! Даю 35 баллов !!!!!!

Приложения:

Ответы

Ответ дал: xurrem
1

Ответ:

решать не смогу полностью но могу сказать и ты сам сделаешь, все таки тебе самому понять надо

в первом задании где представить в виде степени тебе надо

1) где умножение , там нужно степени складывать например 3^7*3^5 тут ты степени 7 и 5 складываешь получаешь 12 , значит в ответе будет 3 в степени 12 , у остальных также

2) где нужно разделить , то там ты вычитаешь степени например 4^9:4^6 ( 9-6=3) значит ответ 4^3

3) где со скобками , то там умножаешь например (3^3)^2 (тут 3*2=6) значит в ответе будет 3 в 6 степени


noname7015: Можешь сказать как 4 делать в скобках второе которое плиз !!!!!!!
xurrem: 4 задание?
noname7015: Да
xurrem: я не могу прикрепить
xurrem: давай так задай еще один раз вопрос и я туда скину фото
noname7015: Баллов нету
noname7015: Ну лани
xurrem: тогда давай я задам вопрос ты ответишь
xurrem: и ты потом
Вас заинтересует