• Предмет: Математика
  • Автор: LSM54
  • Вопрос задан 3 года назад

Помогите, пожалуйста очень нужно. 25 баллов!
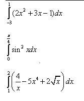
Вычислите определенный интеграл:

Приложения:

Ответы

Ответ дал: pushpull
0

Ответ:

Пошаговое объяснение:

\int\limits^1_{-3} {(2x^2+3x-1)} \, dx = 2\int\limits^1_{-3} {(x^2)} \, dx +3\int\limits^1_{-3} {x} \, dx -\int\limits^1_{-3} {} \, dx =\\\\=\frac{2x^3}{3}  I_{-3}^1+3\frac{x^2}{2}  I_{-3}^1-x I_{-3}^1 =

56/3 -12-4= 8/3

здесь будет замена переменных.

\int\limits^{\pi /4}_0 {sin&2x } \, dx =\left[\begin{array}{ccc}sin^2x=\frac{1}{2} -\frac{1}{2} cos2x\\\\\end{array}\right] =\frac{1}{2} \int\limits^{\pi /4}_0 { } \, dx-\frac{1}{2} \int\limits^{\pi /4}_0 {cos2x } \, dx=\\\\

и замена пределов интегрирования

=\left[\begin{array}{ccc}u=2\\u=\frac{\pi}{2} \\\end{array}\right] =\frac{1}{2} \int\limits^{\pi /4}_0 {} \, dx -\frac{1}{4}\int\limits^{\pi /2}_0 {cosu} \, du=\frac{x}{2}I_0^{\pi /4}-    \frac{sinu}{4} I_0^{\pi /2}=\frac{\pi }{8} -\frac{1}{4} =\\\\\=frac{1}{8} (\pi -2)

\int\limits^2_1 {(\frac{4}{x}-5x^4+2\sqrt{x} ) } \, dx =

\int\limits^2_1 {(\frac{4}{x} -5x^4}+2\sqrt{x} ) \, dx =  4\int\limits^2_1 {(\frac{1}{x}  ) \, dx -5\int\limits^2_1 {(x^4}}) \, dx+2\int\limits^2_1 {(\sqrt{x} ) \, dx =\\\\

=4lnxI_1^2-x^5I_1^2+\frac{4x^{3/2}}{3}I_1^2 =

=ln16-31+\frac{4}{3} (2\sqrt{2} -1)=\\\\=ln16-\frac{97}{3} +\frac{8\sqrt{2} }{3}


Miroslava227: проверьте, пожалуйста, у вас не скомпилировалось)
pushpull: спасибо, попыталась исправить. вообще редактор работает отвратительно ну вот, опять.... все было вставлено а через время пропало....... (((((((((((((
pushpull: я уже не знаю, как поправлять.... в текст ответа все правильно стоит, а после сохранения ответа всё пропадает....
pushpull: даже не знаю, к кому обратиться по этому поводу.... пока брошу решать...
Miroslava227: да, редактор тяжёлый в использовании(
pushpull: к сложностям редактора я уже привыкла. проблема в том, что он начал сбоить. напишешь формулу, вроде всё хорошо. поместишь ее в текст ответа - тоже всё хорошо. а сохранишь ответ - и всё не правильно.....
pushpull: и это только один из сбоев.
Вас заинтересует