Ответы
Ответ дал:
1
Ответ:
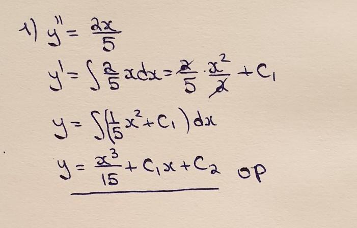
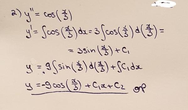
решение на фотографиях
Приложения:


balzhansmailova2008:
здравствуйте можете помочь с математикой пожалуйста
Вас заинтересует
2 года назад
2 года назад
2 года назад
2 года назад
7 лет назад
7 лет назад
9 лет назад
9 лет назад