Ответы
Ответ дал:
0
Ответ:
Решение в файле.
Пошаговое объяснение:
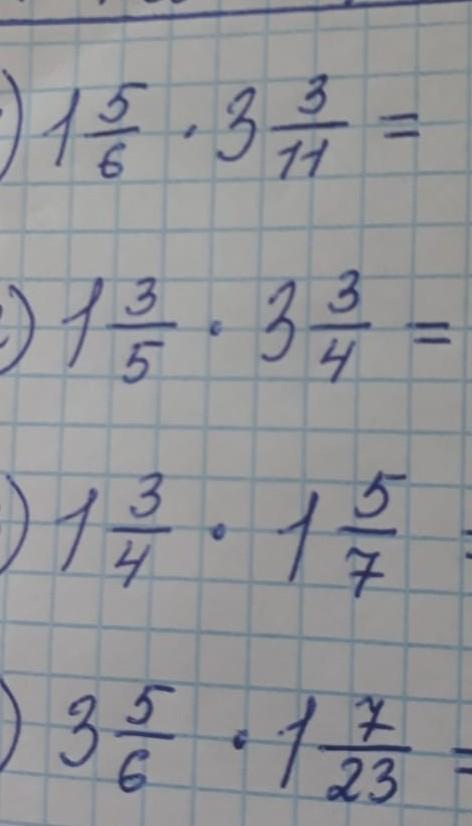
Дроби переводим в неправильные:
Целое число умножаем на знаменатель и прибавляем числитель - это пишем в числителе. Знаменатель остается прежним.
Приложения:

Аноним:
спс)
Вас заинтересует
2 года назад
2 года назад
2 года назад
7 лет назад
7 лет назад
9 лет назад
9 лет назад