• Предмет: Математика
  • Автор: alfinasagadieva565
  • Вопрос задан 3 года назад

помогите пожалуйста ​

Приложения:

Ответы

Ответ дал: Bulochka1s1makom
1

Ответ:

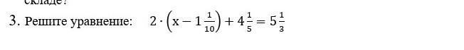
2*x-1 1/10=5 1/3-4 1/5

2*х-1 1/10=1 2/15

2*х=1 2/15+1 1/10

2*х=2 7/30

Х=2 7/10:2

Х=1 7/60


alfinasagadieva565: спасибо
Вас заинтересует