• Предмет: Алгебра
  • Автор: marinagor2012
  • Вопрос задан 3 года назад

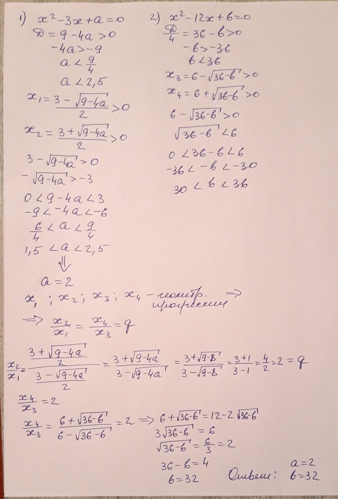
Числа x1 x2 x3 x4 являются последовательными членами геометрической прогрессии с положительными членами так что числа x1 x2 корни уравнения x^2-3*x+a=0 а числа x3 x4корни уравнения x^2-12*x+b=0 укажи значение a b

Ответы

Ответ дал: sharofat0
1

Ответ:

а=2

b=32

Геометрич. прогрессия.

Приложения:
Вас заинтересует