• Предмет: Математика
  • Автор: daaanizmajlovo
  • Вопрос задан 3 года назад

ПОМОГИТЕ пожалуйста!!!!​

Приложения:

Ответы

Ответ дал: leutskaaula
1

Ответ:

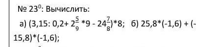
а)(3,15:0,2+2 5/9×9-24 7/8)×8=(15,75+2 5/9×9-24 7/8)×8=(15,75+23/9×9-199/9)×8=(15,75+23-199/8)×8=(63/4+23-199/8)×8=111/8×8=111

б)25,8×(-1,6)+(-15,8)(-1,6)=-25,8×1,6+(-15,8)(-1,6)=-25,8×1,6+15,8×1,6=-1,6(25,8-15,8)=-1,6×10=-16

Вас заинтересует