• Предмет: Алгебра
  • Автор: fachiradana
  • Вопрос задан 3 года назад

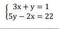
Решить систему методом постановки


Пожалуйста очень срочно надо дам 30 баллов ​

Приложения:

Ответы

Ответ дал: agatagor
1

Ответ:

Все на фото, если что то не понятно пишите в комментариях

Приложения:
Вас заинтересует