Ребята очень срочно помогите пожалуйста
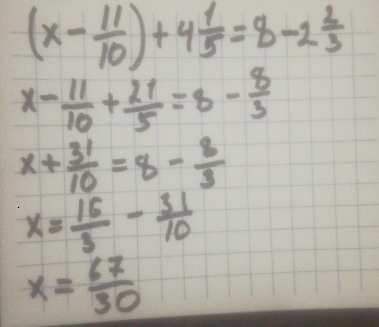
( х - 1 1/10)+4 1/5=8-2 2/3 я подпишусь только пожалуйста помогите
Ответы
Ответ дал:
0
Пошаговое объяснение:
вот решение на фото надеюсь помогла
Приложения:

Вас заинтересует
2 года назад
2 года назад
2 года назад
2 года назад
9 лет назад
9 лет назад