• Предмет: Алгебра
  • Автор: slava12345tretiyakov
  • Вопрос задан 3 года назад

впишите правильные ответы: 4 вопроса

Приложения:

Ответы

Ответ дал: kusmeow
1

Ответ:

Объяснение:

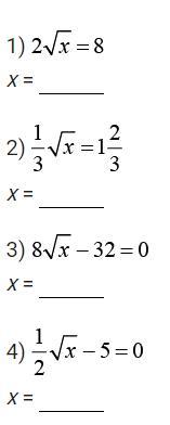
1)x=16

2)x=25

3)x=16

4)x=100

Ответ дал: Igrokman228
1

Ответ:

1) х=16 2) х=25 3) х=16 4) х=100

Объяснение:

Х в корне, а значит есть такое число в квадрате. 8:2 будет 4, значит число в корне 16.

Также х в корне. Чтобы получилось 1 целая 2 третьи должно быть число 5 а значит число 25=x

И так далее

Вас заинтересует