• Предмет: Алгебра
  • Автор: ekaterinaa0519a
  • Вопрос задан 3 года назад

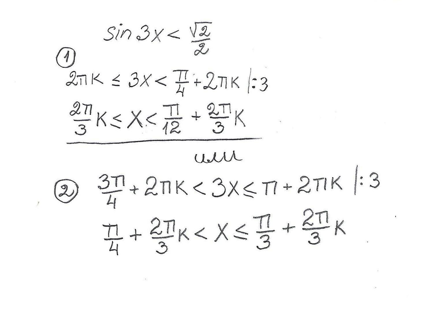
Помогите решить неравенство sin3x<корень из 2/2
`

Ответы

Ответ дал: MatemaX9
3

Ответ:

Объяснение:

полное решение в приложении.

Приложения:
Вас заинтересует