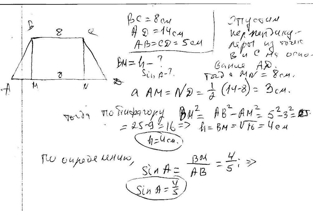
В равнобокой трапеции с основаниями 6 см и 14 см, если боковая сторона равна 5 см найдите:
а) высоту; б) синус острого угла при основании
Желательно с рисунком, заранее благодарен
Ответы
Ответ дал:
14
Ответ:
...................
Приложения:

reginaatahanova:
или sin?
Вас заинтересует
2 года назад
2 года назад
2 года назад
7 лет назад
7 лет назад
9 лет назад