• Предмет: Алгебра
  • Автор: Victoria170610
  • Вопрос задан 3 года назад

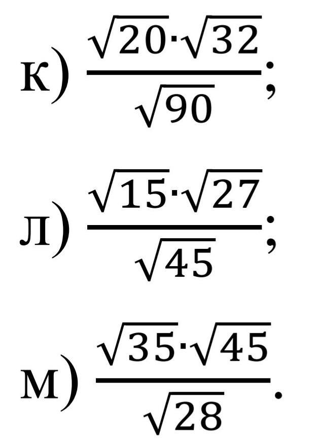
Помогите пожалуйста срочно,срочно
Алгебра 8 Класс​

Приложения:

Ответы

Ответ дал: victoria171006
1

Ответ:

Надеюсь правильно

Объяснение:

Приложения:
Вас заинтересует