Ответы
Ответ дал:
1
Ответ:
1 x+5 1/8=10 2/9
x=10 2/9^8+5 1/8^9
x=10 16/72 +5 9/72
x=15 25/72
2 x+29 7/8=51 5/12
x=51 5/12^2+29 7/8^3
x=51 10/24 +29 21/24
x=80 31/24
x=81 7/24
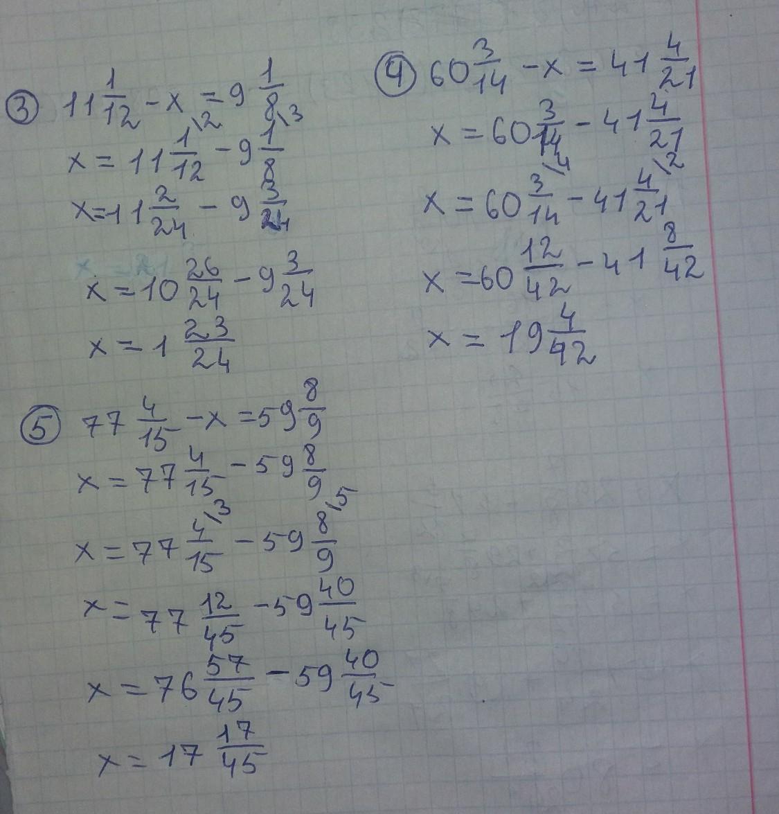
Другие ответы в фото
Приложения:

Вас заинтересует
2 года назад
2 года назад
2 года назад
2 года назад
7 лет назад
9 лет назад