Ответы
Ответ дал:
0
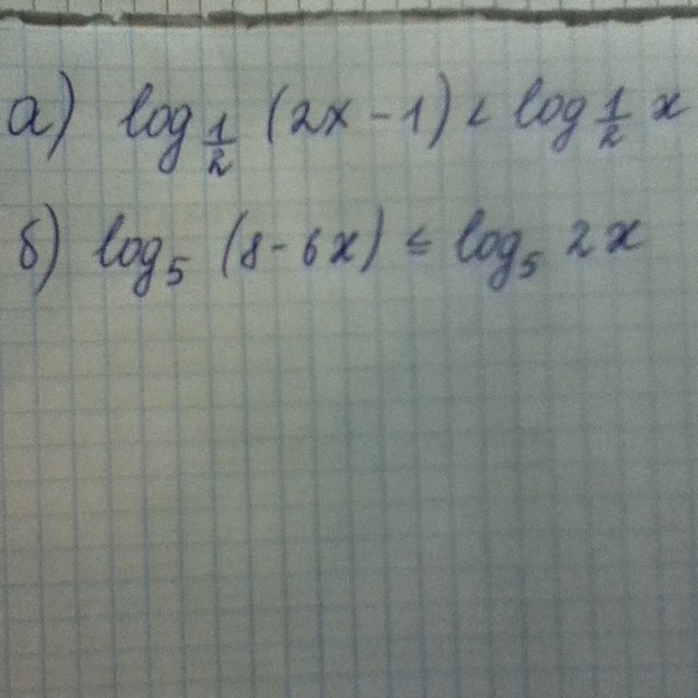
ТАК КАК 1/2 меньше единицы, 2x-1>x x>1
одз
x>0 x>0
2x-1>0 x>1/2 x>1/2 Решение с одз согласовано. ответ x∈(1; + беск-сть)
2. 5>1 8-6x<=2x 8x>=8 x>=1 сравним с одз
одз 8-6x>0 x<4/3
2x>0 x>0 x∈(0;4/3) - это одз
С учетом одз решение неравенства x∈ |1;4/3)
одз
x>0 x>0
2x-1>0 x>1/2 x>1/2 Решение с одз согласовано. ответ x∈(1; + беск-сть)
2. 5>1 8-6x<=2x 8x>=8 x>=1 сравним с одз
одз 8-6x>0 x<4/3
2x>0 x>0 x∈(0;4/3) - это одз
С учетом одз решение неравенства x∈ |1;4/3)
Вас заинтересует
3 года назад
3 года назад
8 лет назад
8 лет назад
11 лет назад
11 лет назад
11 лет назад