Периметр треугольника ABC равен 15 см. Сторона ВС больше стороны АВ на 2 см, а сторона АВ меньше стороны АС на 1 см. Найдите стороны треугольника
Ответы
Ответ дал:
0
мимими.брат решил(?...............
Приложения:
Ответ дал:
0
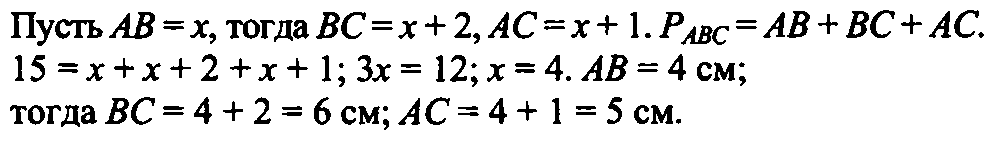
BC= AB+2
AC= AB+1
AB+BC+AC=15
AB+AB+2+AB+1=15
3AB= 15-3
3AB= 12
AB=4
BC=6
AC=5
AC= AB+1
AB+BC+AC=15
AB+AB+2+AB+1=15
3AB= 15-3
3AB= 12
AB=4
BC=6
AC=5
Приложения:
Вас заинтересует
3 года назад
3 года назад
8 лет назад
11 лет назад
11 лет назад
11 лет назад