• Предмет: Математика
  • Автор: saidovasevil
  • Вопрос задан 3 года назад



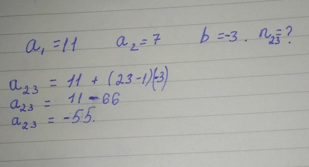
Найдите 23-й и n-й члены арифметической прогрессии: 11; 7;...
Срочно


Аноним: привет Лалелисаманобсн

Ответы

Ответ дал: lalalisamonaban
2

Ответ:

решила правильно

Пошаговое объяснение:

надеюсь тебе поможет:)

Приложения:

saidovasevil: Спасибо❤️
lalalisamonaban: всегда пожалуйста
zanelbekzanova1: как у тебя получилось 66
lalalisamonaban: (23-1)*3 22*3=66
Вас заинтересует