Ответы
Ответ дал:
1
Ответ:
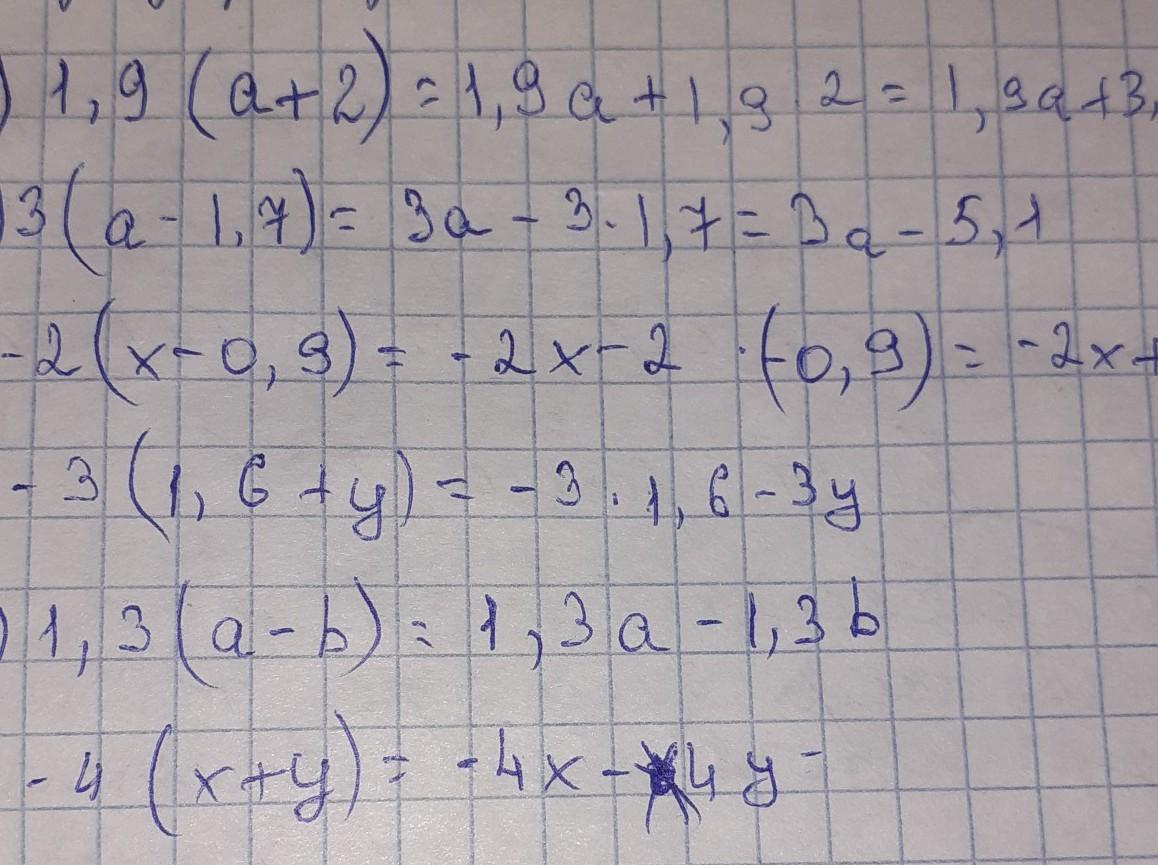
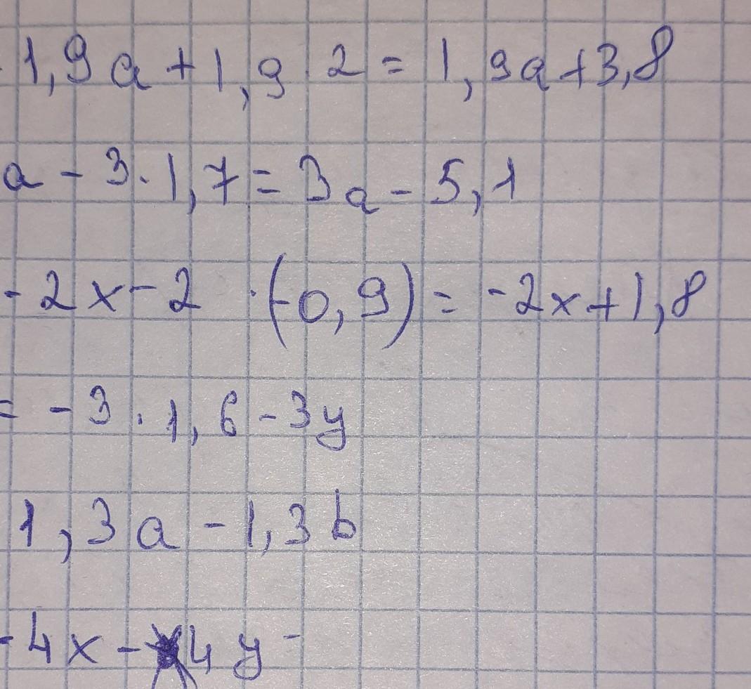
- 1,9a+3,8
- 3a-5,1
- -2x+1,8
- -4,8-3y
- 1,3a-1,3b
- -4x-4y
Пошаговое объяснение:
Оцени пж очень надо
Ответ дал:
1
Ответ:
вот правильный ответ
Пошаговое объяснение:
лайкай если правильно
Приложения:


Вас заинтересует
2 года назад
2 года назад
2 года назад
2 года назад
7 лет назад
7 лет назад
9 лет назад