• Предмет: Математика
  • Автор: Аноним
  • Вопрос задан 3 года назад

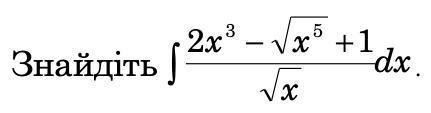
Помогите решить интеграл
(Виконайте розв'язання, запишіть з поясненням і обґрунтуванням.)

Приложения:

Ответы

Ответ дал: elenakurilo
1

Ответ:

Пошаговое объяснение:

Приложения:
Вас заинтересует