Ответы
Ответ дал:
1
Пошаговое объяснение:
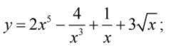
сначала записываем х в степенной форме,потом находим производную и возвращаем в начальную форму
Приложения:

Вас заинтересует
2 года назад
2 года назад
2 года назад
7 лет назад
7 лет назад
9 лет назад
9 лет назад