• Предмет: Математика
  • Автор: DaniilUre
  • Вопрос задан 3 года назад

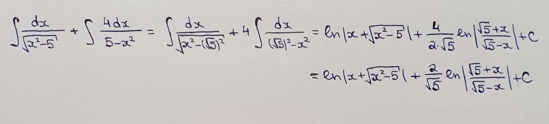
Обчислити інтеграли методом безпосереднього інтегрування:

Приложения:

Ответы

Ответ дал: Miroslava227
1

Ответ:

решение на фотографии

Приложения:
Вас заинтересует