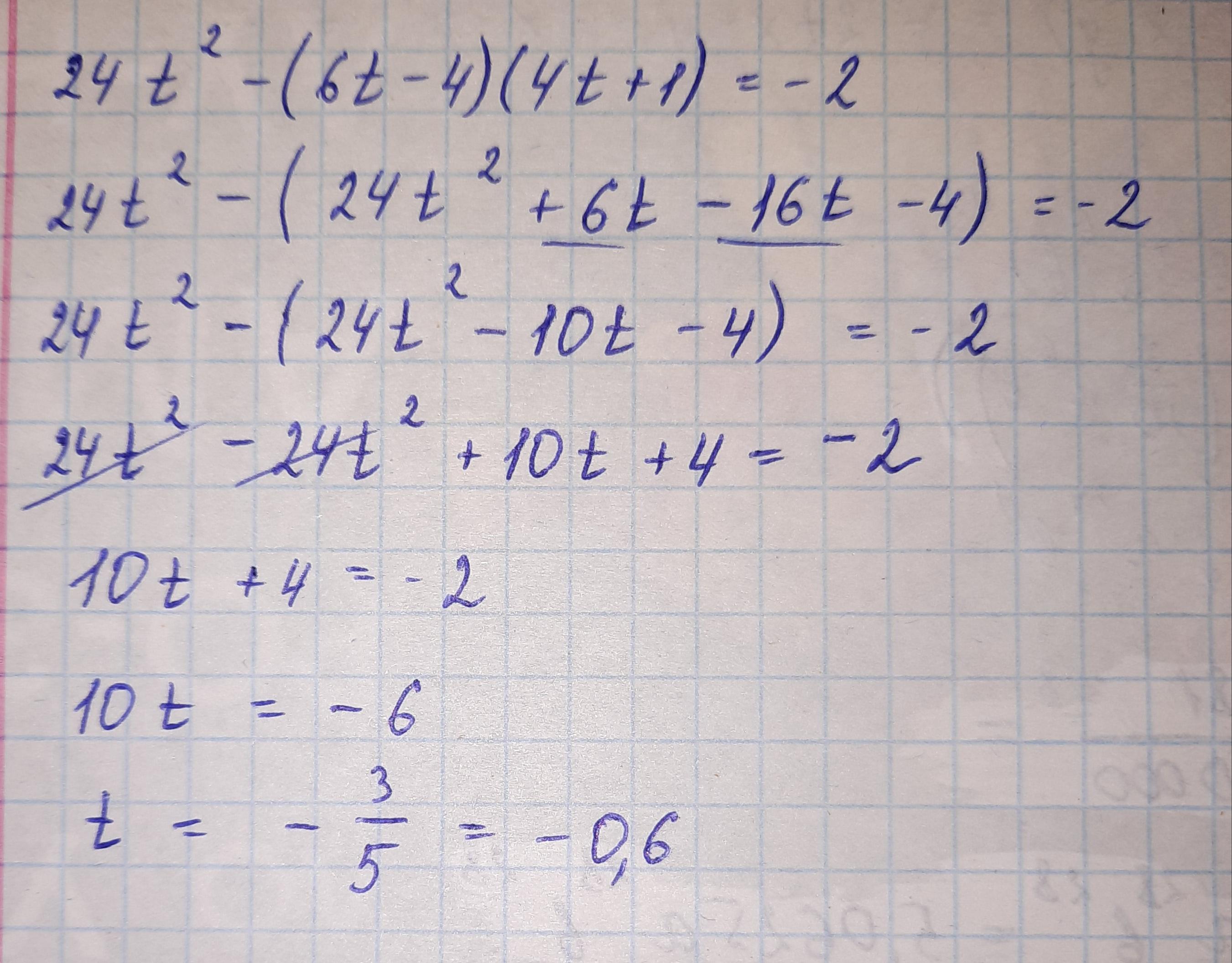
Реши уравнение: 24t²−(6t−4)⋅(4t+1)=−2.
(Ответ запиши в виде десятичной дроби!)
Ответ: t= [ответ].
Ответы
Ответ дал:
2
144t2+96•96t+24 = 20736t+96t= 20832t; 96+24= 120; = 20832t+120
Не знаю правильно или нет, но вышло так.
Не знаю правильно или нет, но вышло так.
Ответ дал:
3
Ответ во вложенном файле
Приложения:
Вас заинтересует
2 года назад
2 года назад
3 года назад
3 года назад
8 лет назад
8 лет назад
9 лет назад