• Предмет: Математика
  • Автор: 777anvarrr777
  • Вопрос задан 3 года назад

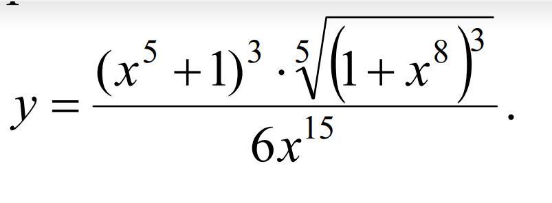
Продифференцировать данные функции, используя правило логарифмического дифференцирования:

Приложения:

Ответы

Ответ дал: Miroslava227
2

Ответ:

Формула:

y' = ( ln(y))'  \times y

( ln(y))'  = ( ln( \frac{ {( {x}^{5}  + 1)}^{3}  \times  {(1 +  {x}^{8} )}^{ \frac{3}{5} } }{6 {x}^{15} } )'  = \\  =  ( ln( {( {x}^{5} + 1) }^{3}  +  ln( {(1 +  {x}^{8} )}^{ \frac{3}{5} } ) -  ln(6 {x}^{15} )  )'  =  \\  =  \frac{3}{ {x}^{5}  + 1}  \times 5 {x}^{4}  +  \frac{3}{5(1 +  {x}^{8}) }   \times 8 {x}^{7}  -  \frac{15 {x}^{14} }{6 {x}^{15} }  =  \\  =  \frac{5 {x}^{4} }{ {x}^{5}  + 1}  +  \frac{24 {x}^{7} }{5(1 +  {x}^{8}) }  -  \ \frac{5}{2x}  =  \\  =  \frac{5 {x}^{4} \times 5(1 +  {x}^{8}) \times 2x + 24 {x}^{7} ( {x}^{5} + 1) \times 2x - 25(1 +  {x}^{8} )( {x}^{5}   + 1)  }{10x ({x}^{5}  + 1)(1 +  {x}^{8} )}  =  \\  =  \frac{73 {x}^{13}  + 23 {x}^{8}   + 25 {x}^{5} - 25 }{10x( {x}^{5}  + 1)( {x}^{8} + 1) }

y' =  \frac{73 {x}^{13}  + 23 {x}^{8}   + 25 {x}^{5} - 25 }{10x( {x}^{5}  + 1)( {x}^{8} + 1) }  \times  \frac{ {( {x}^{5} + 1) }^{3}  {(1 +  {x}^{8}) }^{ \frac{3}{5} } }{6 {x}^{15} }  =  \\  =  \frac{(73 {x}^{13} + 23 {x}^{8}  + 25 {x}^{5}  - 25) {( {x}^{5}  + 1)}^{2}  }{60 {x}^{16} \sqrt[5]{ {( {x}^{8}  + 1)}^{2} }  }


aleksoref: Добрый вечер, помогите пожалуйста ​

https://znanija.com/task/41045693
Вас заинтересует