Ответы
Ответ дал:
1
Держи, надеюсь помогла тебе)
Приложения:

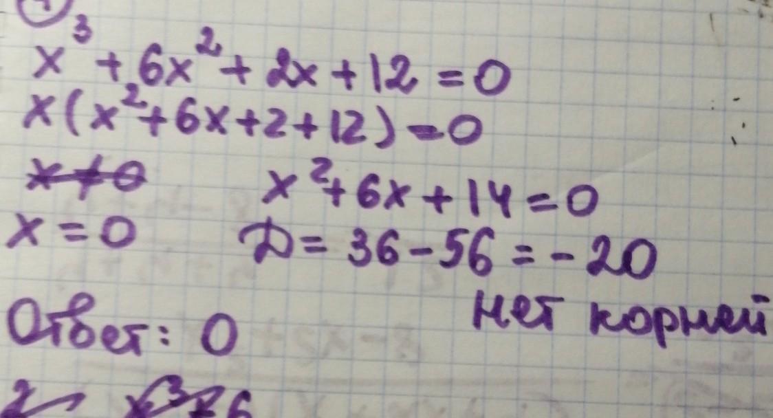
filana85:
Неправильно. 12 нельзя поместить в скобку, так там просто 12 , а не 12х
Ответ дал:
1
Ответ: х= -6
Объяснение: во вложенном файле
Приложения:

Вас заинтересует
2 года назад
2 года назад
2 года назад
2 года назад
7 лет назад
7 лет назад