• Предмет: Математика
  • Автор: bondarenkoyliyana
  • Вопрос задан 3 года назад

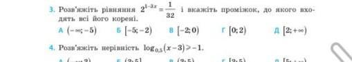
3 задание прошу (((((​

Приложения:

Ответы

Ответ дал: vladyatsuk
1

Ответ:

див. фото

Пошаговое объяснение:

Приложения:

vladyatsuk: Прошу відмітити як найкращу відповідь і поставити 5 зірок :)
bondarenkoyliyana: все для Вас, спасибо огромное))
Вас заинтересует