• Предмет: Математика
  • Автор: LSM54
  • Вопрос задан 3 года назад

Помогите, пожалуйста, очень нужно! 25 баллов!
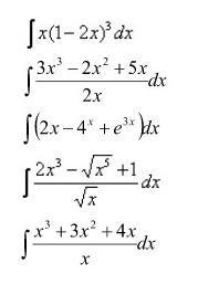
Найдите неопределенный интеграл.

Приложения:

Ответы

Ответ дал: iosiffinikov
1

Ответ:

Пошаговое объяснение:

1)

Приводим подынтегральное выражение к виду:

x*(1-6x+12x^2-8x^3)=x-6x^2+12x^3-8x^4

По стандартным формулам ответ:

x^2/2-2x^3+3x^4-1,6x^5+C

2) Приводим подынтегральное выражение к виду:

1,5x^2-x+2,5

По стандартным формулам ответ:

0,5x^3-0,5x^2+2,5x+C

3) Приводим подынтегральное выражение к виду:

2x-e^(xln4)+e^(3x)

По стандартным формулам ответ:

x^2-(1/ln4)*4^x+(1/3)e^(3x)+C

4) ) Приводим подынтегральное выражение к виду:

3x^2,5-x^2+x^(-0,5)

По стандартным формулам ответ:

(6/7)x^3,5 (1/3)*x^3 +2*x^0,5+C

5)  Приводим подынтегральное выражение к виду:

x^2+3x+4

По стандартным формулам ответ:

(1/3)*x^3+1,5x^2+4x+C

Всюду

C - любое число,x^а - х в степени а.

Вас заинтересует