Ответы
Ответ дал:
0
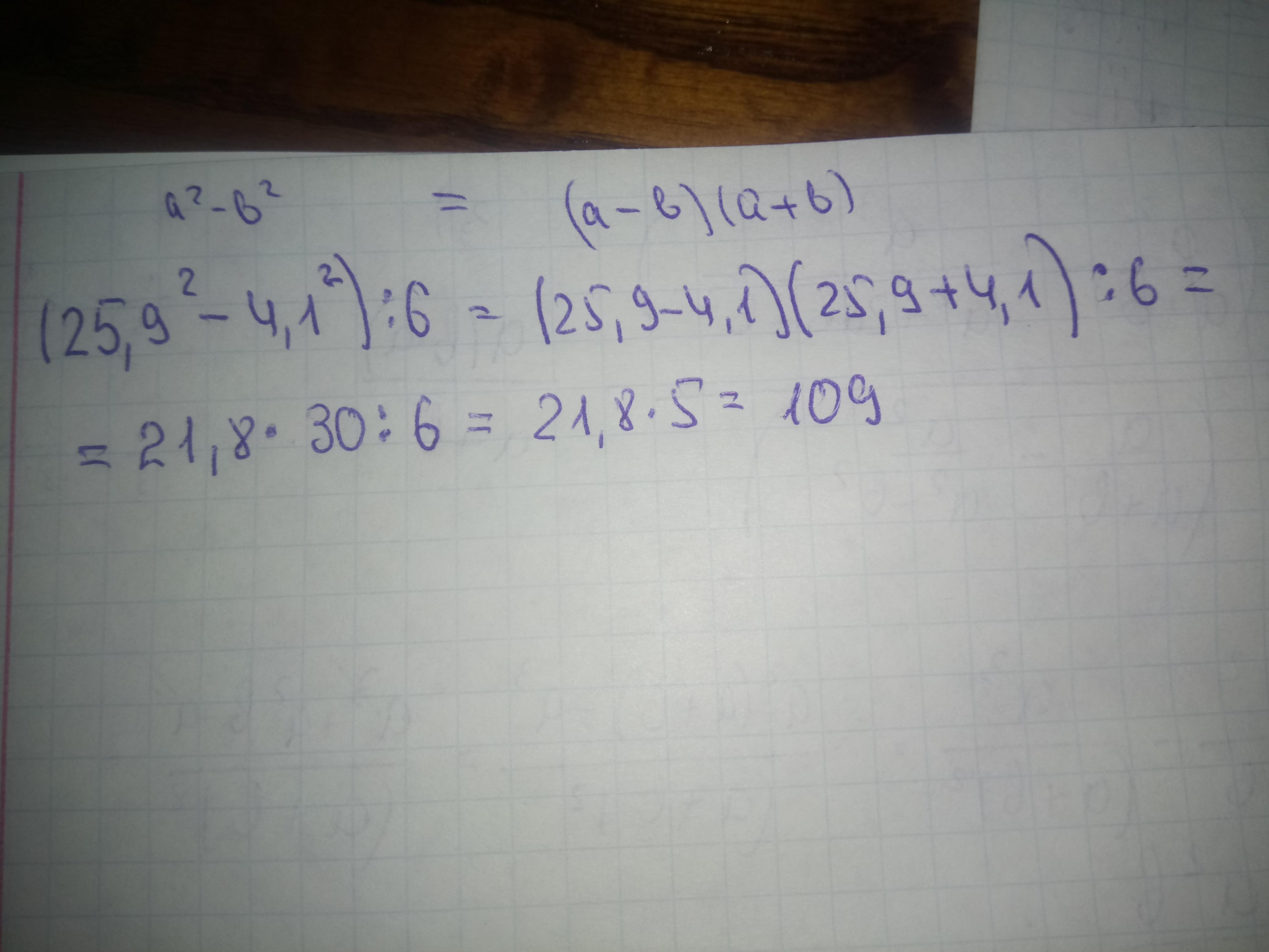
Ответ 109
Решение задачи прилагаю
Приложения:

Вас заинтересует
2 года назад
2 года назад
7 лет назад
7 лет назад
9 лет назад