• Предмет: Математика
  • Автор: LSM54
  • Вопрос задан 3 года назад

Очень нужно, пожалуйста, решите! 40 баллов!!
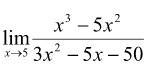
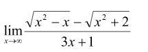
Найдите пределы

Приложения:

Ответы

Ответ дал: natalyabryukhova
2

Ответ:

===================================

Пошаговое объяснение:

Приложения:
Вас заинтересует