• Предмет: Математика
  • Автор: LSM54
  • Вопрос задан 3 года назад

Очень нужно, пожалуйста, решите! 30 баллов!!
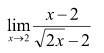
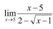
Найдите пределы

Приложения:

Ответы

Ответ дал: RandoTapok
0

Ответ:

1) 2; 2) -4.

Пошаговое объяснение:

№1

\lim_{x \to\2} 2   \frac{x-2}{\sqrt{2x}-2}=[\frac{0}{0}]

Домножим числитель и знаменатель на \sqrt{2}\sqrt{x}+2, получим:

\lim_{x \to\2} 2  \frac{(x-2)(\sqrt{2}\sqrt{x}+2)}{(\sqrt{2}\sqrt{x}-2)(\sqrt{2}\sqrt{x}+2)  }

\lim_{x \to\2} 2 \frac{(x-2)(\sqrt{2}\sqrt{x}+2) }{2x-4}

\lim_{x \to\2} 2 \frac{\sqrt{2}\sqrt{x}}{2}+1=2

№2

\lim_{x \to\2} 5 \frac{x-5}{2-\sqrt{x-1} }=[\frac{0}{0}]

Домножим числитель и знаменатель на \sqrt{x-1}+2, получим:

\lim_{x \to\2} 5 \frac{(x-5)(\sqrt{x-1}+2) }{(2-\sqrt{x-1})(\sqrt{x-1}+2)}

\lim_{x \to\2} 5 \frac{(x-5)(\sqrt{x-1}+2)}{5-x}

\lim_{x \to\2} 5 (-\sqrt{x-1}-2)=-4


LSM54: Помогите, пожалуйста, с еще одним заданием https://znanija.com/task/41047832
RandoTapok: То задание сильно подольше, попозже может сделаю.
Вас заинтересует