• Предмет: Алгебра
  • Автор: yany727282
  • Вопрос задан 3 года назад

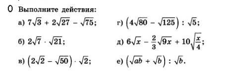
помогите пожалуйста!!!​

Приложения:

Ответы

Ответ дал: taeutopia20
0

Ответ:

а=8 под корнем 3

б=14 под корнем 4

в=-6

Вас заинтересует