Ответы
Ответ дал:
1
Ответ:файл
Пошаговое объяснение:
Приложения:

Аноним:
поможешь ещё с одной задачей
Ответ дал:
0
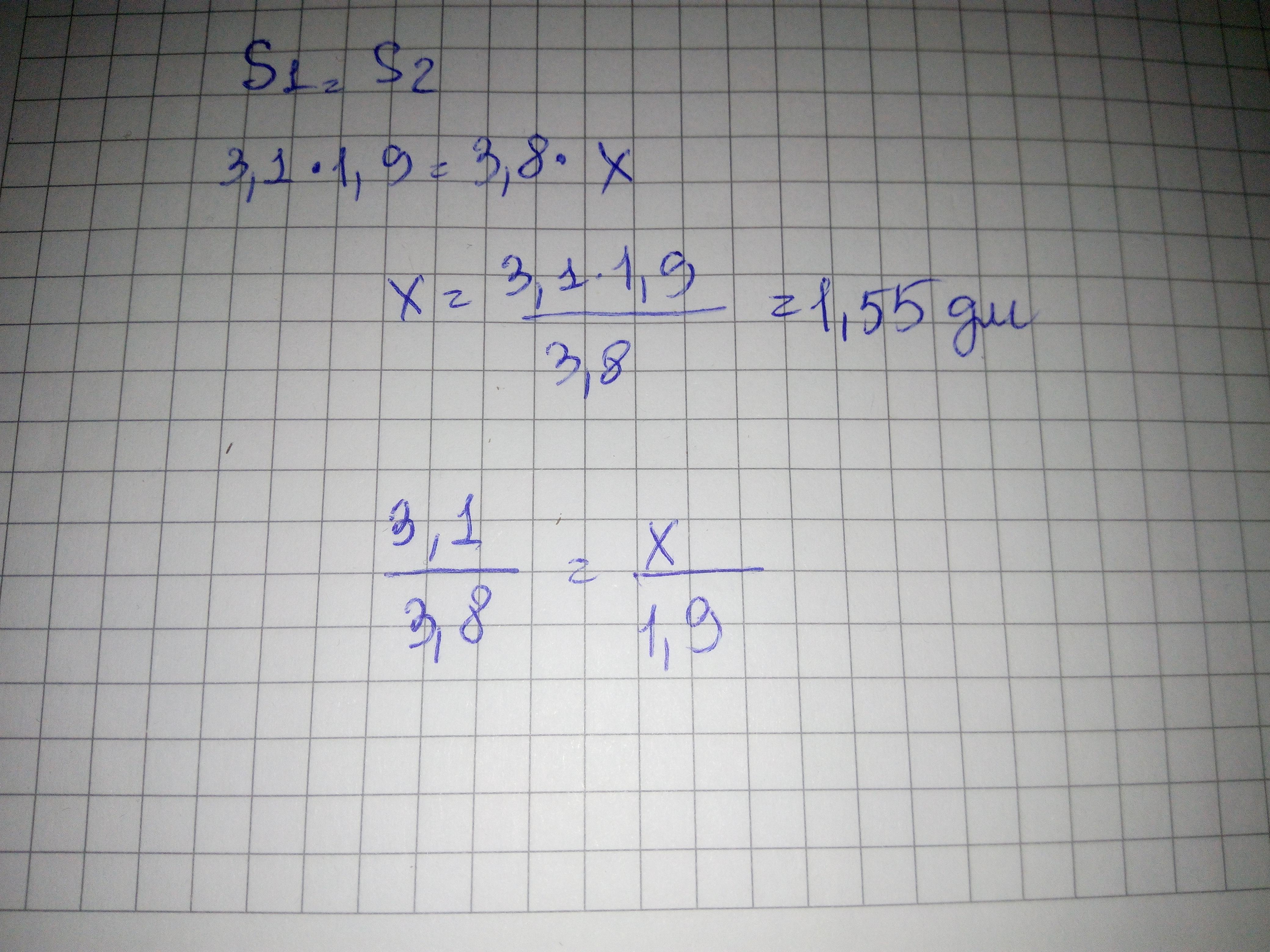
Ответ:Площадь прямоугольника-произведение ширины на длину
Площадь первого прямоугольника
S=3,1•1,9
S=5,89 дм в квадрате
Ширина второго прямоугольника
5,89:3,8=1,55 дм
Пошаговое объяснение:
Вас заинтересует
2 года назад
2 года назад
7 лет назад
9 лет назад