• Предмет: Алгебра
  • Автор: arina5999
  • Вопрос задан 3 года назад


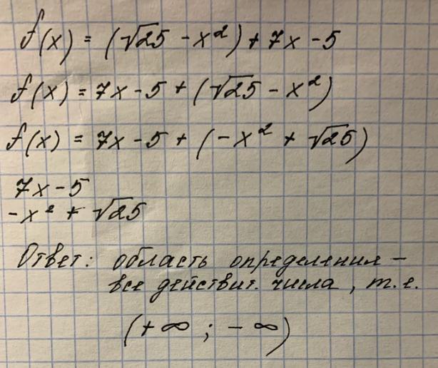
8. Найдите область определения функции f(x)=(корень из 25-х2) + 7-х-5

Ответы

Ответ дал: Frey412
0

Ответ:

Область определения : (+∞; -∞)

x ∈ R

Приложения:
Вас заинтересует