• Предмет: Алгебра
  • Автор: rd1706d
  • Вопрос задан 3 года назад

Вычислите:
(27,7²-2,3²):5


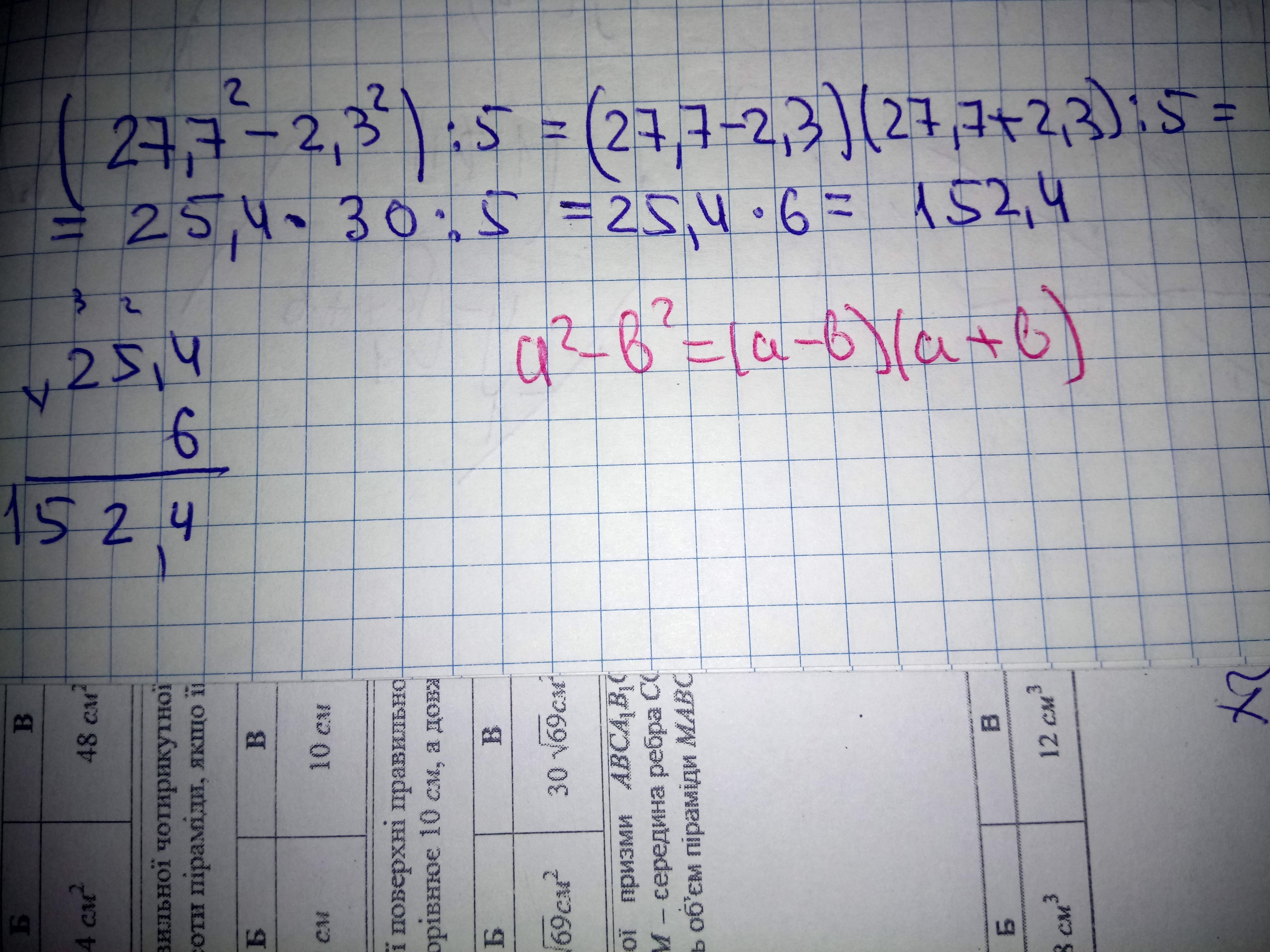
Аноним: Решение. = (27, 7-2,3)(27,7+2,3):5=25,4*30:5=25,4*6= 152,4. Данное выражение решаем с помощью формулы разности квадратов.

Ответы

Ответ дал: matfeiselivanov
0

Ответ:

152,4

Объяснение:

27,7*27,7=767,29.

2,3*2,3=5,29.

767,29-5,29=762

762/5=152,4


Аноним: Молодец, но для решения не годится.
Ответ дал: Аноним
1

Решение выражения должно быть таким и никаким иначе. Тема формулы сокращённого умножения.

Приложения:
Вас заинтересует